توربین جذر و مدی محور افقی، اعتبارسنجی عددی مقاله
۳,۲۴۰,۰۰۰ تومان تخفیف دانشجویی
- در این پروژه به شبیه سازی یک توربین جذر و مدی محوری افقی با استفاده از نرم افزار انسیس فلوئنت (ANSYS Fluent) پرداخته ایم.
- هندسه سه بعدی این پروژه با نرم افزار ANSYS Design Modeler ترسیم شده است.
- مش بندی این پروژه با نرم افزار ANSYS Meshing انجام شده است و تعداد سلول های محاسباتی 4270222 سلول می باشد.
- نتایج با مقاله “Performance of horizontal axis tidal current turbine by blade configuration.” مقایسه شده است.
- از تکنیک Frame Motion (MRF) برای تعریف حرکت چرخشی استفاده کرده ایم.
بر روی افزودن به سبد خرید کلید کرده و فایل های هندسه، مش و فیلم آموزشی جامع را دریافت کنید.
برای سفارش پروژه خود و یا بهره مندی از مشاوره رایگان، با کارشناسان ما از طریق ایمیل ([email protected])، پشتیبانی آنلاین و یا واتس اپ (09126238673) در ارتباط باشید.
برای کنترل کیفیت خدمات ما میتوانید از محصولات رایگان استفاده کنید.
توضیحات
شرح پروژه توربین جذر و مدی محور افقی
در این پروژه به شبیه سازی یک توربین جذر و مدی محوری افقی با استفاده از نرم افزار انسیس فلوئنت (ANSYS Fluent) پرداخته ایم. نتایج شبیه سازی این توربین آبی، با مقاله “Performance of horizontal axis tidal current turbine by blade configuration.” مقایسه شده و نتایج اعتبارسنجی شده اند.
در این پروژه آب با سرعت 1 m.s-1 جریان می یابد و از توربین آب عبور می کند. بنابراین با برخورد جریان آب به پره های توربین و ایجاد نیروی گشتاور بر روی پره ها، حرکت چرخشی در پره های توربین حاصل می شود که باعث ایجاد جریان چرخشی برای آب اطراف در اطراف پره ها می شود.
مدل حاضر به صورت سه بعدی طراحی شده است. مقاطع مربوط به پره های توربین به صورت ایرفویل از نوع S814 می باشد.
از آنجایی که بخش ایرفویل لبه ها در طول تیغه های مختلف با مقیاس خاصی کاهش یا افزایش می یابد (بر اساس طول وتر ایرفویل)، هر بخش ایرفویل به عنوان مجموعه ای از نقاط با مختصات وارد شده و در نرم افزار SOLIDWORKS در یک زاویه مشخص ترسیم شده اند.این بخش ها شامل 16 واحد سپس به نرم افزار ANSYS Design Modeler برای طراحی یکپارچه تیغه وارد شده اند.
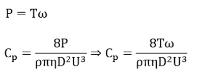
در نرم افزار ANSYS Design Modeler مدلسازی به گونه ای انجام شده است که برای توربین مورد نظر 3 پره کشیده شده است. در فضای اطراف پره های توربین، استوانه خاصی برای جریان آب در گردش ایجاد می شود و فضای مکعب مستطیلی به عنوان فضایی برای جریان آزاد آب طراحی شده است. اطلاعات هندسی پره های توربین شامل اندازه وتر هر بخش ایرفویل تیغه و زاویه شیب آن نسبت به محور مرکزی در جدول 3 مقاله مذکور ارائه شده است.
مش بندی با استفاده از نرم افزار ANSYS Meshing انجام شده است و نوع مش بدون ساختار است. برای افزایش دقت مش بندی، روی سطوح پره های توربین از مش لایه مرزی استفاده کرده ایم و تعداد سلول های محاسباتی4270222 می باشد.
برای ثبت نقد و بررسی وارد حساب کاربری خود شوید.










دیدگاهها
هیچ دیدگاهی برای این محصول نوشته نشده است.